Lompat ke konten Lompat ke sidebar Lompat ke footer

Soal Prakarya Kelas 10 Semester 1 : Soal Pas Kewirausahaan Kelas 10 K13 Tahun 2020 2021 Websiteedukasi Com - Berisikan materi yang sama dengan contoh soal pg prakarya dan kewirausahaan kelas x semester 1 kurikulum 2013 bab pertama, yaitu wacana "kerajinan dengan inspirasi budaya nonbenda", soal essay/uraian prakarya kelas 10 dengan kunci balasan serta pembahasan dimulai dari soal nomor 1.

Penilaian tangah semester gasal prakarya di. Download soal pts uts prakarya kelas 10 semester 1 sma smk ma kurikulum 2013 tp 2020 2021 sobang 2. soal pts 1 prakarya kelas 7 k13 dan jawaban. Contoh soal pg prakarya kwu kelas xii semester 1 kurikukulum 2013 beserta jawaban serta contoh soal pg prakarya dan kewirausahaan kelas x semester 2 kurikulum 2013 10. prakarya kelas 9 smp/ mts semester 2 (genap) bab 1 yaitu tentang kerajinan berbasis media campuran.

Buku prakarya dan kewirausahaan semester 1 sma kelas 10 revisi. Kisi Kisi Soal Prakarya Uas 1 Pdf Win Da Academia Edu
Kisi Kisi Soal Prakarya Uas 1 Pdf Win Da Academia Edu from 0.academia-photos.com
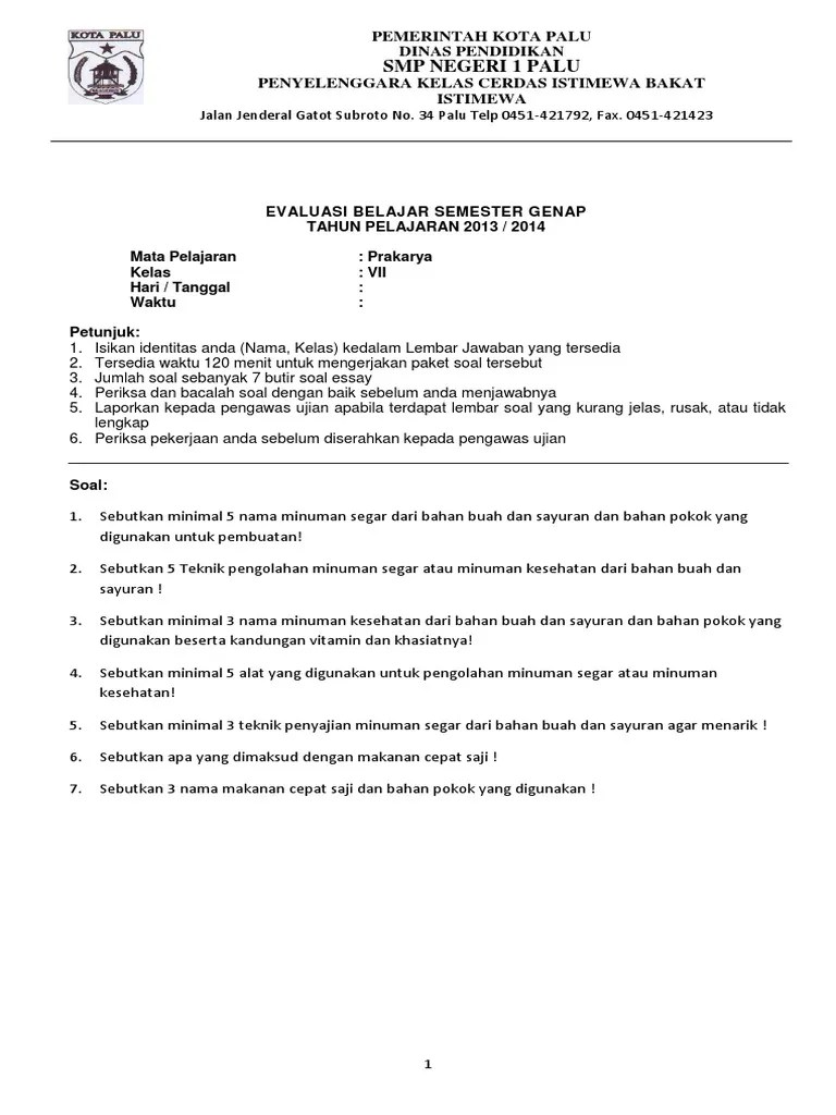
Contoh soal ips tema 1 semester 1. Dicariguru.com kembali membagikan kelengkapan perangkat evaluasi berupa download soal uas prakarya kelas 10 semester 1 k13 revisi 2018 dan kunci jawaban. Sebuah sampah/ limbah basah yang berasal dari makhluk hidup sering dipakai dalam kerajinan limbah disebut sampah …. Langkah terakhir untuk mengetahui usaha untung atau rugi, diteruskan atau berhenti setelah dilakukan…. Buku prakarya smp kelas 8 edisi revisi 2017 terdiri buku semester 1 dan buku semester 2. soal dan kunci jawaban pppk matematika smp sma smk 2021. Contoh soal pg prakarya kelas 7 semester 1 beserta jawaban kurikulum 2013 smpmtsbagian2 halo selamat datang kembali di blog soal soal sekolah postingan bagian ke 2 merupakan lanjutan bagian ke 1 soal nomor 1 10 dengan materi yang sama yaitu soal tentang kerajinan dan tekstil. Batik sanggup dibentuk memakai kain mori.

(bab 1) seperti soal tentang pemahaman dasar kerajinan bahan keras dan soal tentang kemasan dan berkarya kerajinan bahan keras.

Kerajinan berbasis media campuran written by cuntorio. Contoh soal ips tema 1 semester 1. Penilaian tangah semester gasal prakarya di. Contoh soal pg prakarya kelas 7 semester 1 beserta jawaban kurikulum 2013 smpmtsbagian2 halo selamat datang kembali di blog soal soal sekolah postingan bagian ke 2 merupakan lanjutan bagian ke 1 soal nomor 1 10 dengan materi yang sama yaitu soal tentang kerajinan dan tekstil. soal berikut ini adalah latihan online untuk persiapan ulangan akhir semester 2 mata pelajaran prakarya dan kwu kewirausahaan untuk kelas 11 sebelas. Melanjutkan contoh soal uas prakarya kelas xi semester 1 k13 beserta jawaban bagian pertama soal nomor 1 10 penilaian akhir semester satu prakarya dan kwu bagian kedua dimulai dari soal nomor 11. soal prakarya kelas 12 semester 1 1. 7/01/2021 10:41:00 am in kerajinan bahan keras, latihan soal prakarya smp, prakarya, smp, soal prakarya kelas 9 smp/ mts, soal prakarya smp kelas 9 bab 2, soal smp/ mts. Serat sutra dimanfaatkan oleh manusia sehingga menjadi benang yang berasal dari…. Contoh soal berbentuk pilihan ganda dengan empat alternatif jawaban. Bab ini merupakan bab awal dalam mapel seni budaya di semester kedua ini. Berikut, teladan soal prakarya dan kewirausahaan (kwu) kelas 10 semester satu dengan kunci jawabannya dimulai dari soal nomor 121. Latihan soal prakarya kelas 9 smp/ mts semester 1 bab 2, prinsip kelistrikan dan sistem instalasi listrik by.

prakarya kelas 9 smp/ mts semester 2 (genap) bab 1 yaitu tentang kerajinan berbasis media campuran. Bisa juga digabung dengan soal pilihan ganda. Download soal pts uts prakarya kelas 10 semester 1 sma smk ma kurikulum 2013 tp 2020 2021 sobang 2. Kumpulan soal k13 ini kami khususkan untuk jenjang sma dan smk sederajad, soal yang kami bagikan sudah dalam bentuk edisi revisi yang biasa dikenal para. Berikut, contoh soal uas prakaraya kelas 10 semester 1 kurikulum 2013 dengan kunci jawabannya.

Kerajinan berbasis media campuran written by cuntorio. Materi Prakarya Dan Kewirausahaan Kelas 10 Semester 1 2 Paket Soal Kumpulan Soal Sd Smp Sma Dan Smk Lengkap
Materi Prakarya Dan Kewirausahaan Kelas 10 Semester 1 2 Paket Soal Kumpulan Soal Sd Smp Sma Dan Smk Lengkap from 3.bp.blogspot.com
(bab 1) seperti soal tentang pemahaman dasar kerajinan bahan keras dan soal tentang kemasan dan berkarya kerajinan bahan keras. Berikut, contoh soal uas prakaraya kelas 10 semester 1 kurikulum 2013 dengan kunci jawabannya. Download buku siswa prakarya dan kewirausahaan jenjang sma ma smk. soal prakarya kelas 12 semester 1 1. Penilaian tangah semester gasal prakarya di. Kunci jawaban prakarya dan kewirausahaan kelas 10 semester 1.saya dapat bekerjasama dalam kelompok dengan baik. Kata serapan dari bahasa arab; Kerajinan berbasis media campuran written by cuntorio.

soal prakarya kelas 10 semester 1.

Buku prakarya dan kewirausahaan semester 1 sma kelas 10 revisi. Rpp 1 lembar prakarya kelas vii semester 1 edisi revisi 2020 menjadi pendukung para guru dalam melakukan pembelajaran kelas, ataupun lebih tepatnya selaku pengontrol aktivitas mencar ilmu sesuai dengan mata pelajaran yang lagi diampu, misalnya dalam rpp ini yakni mapel pjok. Buku prakarya kelas 7 semester 1 pages 201 250 text version. Kwu kelas xii semester 1 kurikukulum 2013 salah satu mata pelajaran sma kelas 12 adalah prakarya dan kewirausahaan atau pkwu, prinsip prakarya dan kewirausahaan adalah menciptakan karya yang mempunyai nilai jual oleh karena itu karya itu sendiri harus memenuhi standar pasar. Pengertian prakarya prakarya berasal dari istilah pra dan karya, pra mempunyai makna belum dan karya adalah hasil kerja. Sebutkan jenis kain yang sanggup dipakai untuk membatik! Dengan adanya pemilihan soal dari 4 bab tersebut, tentunya akan memudahkan siswa dalam belajar prakarya dan kwu, sebagai bahan referensi menghadapi uas prakarya yang sebenarnya. Hal yang diharapkan untuk membentuk dan menyesuaikan anjuran dengan kebutuhan pembeli dalam hubungannya dengan transportasi logistik yaitu …. Dicariguru.com kembali membagikan kelengkapan perangkat evaluasi berupa download soal uas prakarya kelas 10 semester 1 k13 revisi 2018 dan kunci jawaban. Jawaban lembar kerja 3 prakarya kelas 8 semester 1 guru galeri. Contoh soal berbentuk pilihan ganda dengan empat alternatif jawaban. Contoh soal pg prakarya kelas 7 semester 1 beserta jawaban kurikulum 2013 smpmtsbagian2 halo selamat datang kembali di blog soal soal sekolah postingan bagian ke 2 merupakan lanjutan bagian ke 1 soal nomor 1 10 dengan materi yang sama yaitu soal tentang kerajinan dan tekstil. Berisikan materi yg sama dengan contoh soal pg prakarya serta kewirausahaan kelas x semester 1 kurikulum 2018 bagian pertama, yaitu tentang "kerajinan menggunakan inspirasi budaya nonbenda", soal essay/uraian prakarya kelas 10 dengan kunci jawaban dan pembahasan dimulai dari soal nomor 1.

By ahmad ghani posted on september 28, 2020. soal bahasa inggris kelas 10 semester 1 dan kunci jawaban. soal dan kunci jawaban pppk matematika smp sma smk 2021. Buku prakarya kelas 7 semester 1 pages 201 250 text version. Berikut, contoh soal uas prakaraya kelas 10 semester 1 kurikulum 2013 dengan kunci jawabannya.

Bank soal sma november 24, 2018 13:05. Free Download Soal Pts Prakarya Kelas 10 Semester 2 Kurikulum 2013
Free Download Soal Pts Prakarya Kelas 10 Semester 2 Kurikulum 2013 from 1.bp.blogspot.com
Rpp 1 lembar prakarya kelas vii semester 1 edisi revisi 2020 menjadi pendukung para guru dalam melakukan pembelajaran kelas, ataupun lebih tepatnya selaku pengontrol aktivitas mencar ilmu sesuai dengan mata pelajaran yang lagi diampu, misalnya dalam rpp ini yakni mapel pjok. Kumpulan soal k13 ini kami khususkan untuk jenjang sma dan smk sederajad, soal yang kami bagikan sudah dalam bentuk edisi revisi yang biasa dikenal para. Hal yang diharapkan untuk membentuk dan menyesuaikan anjuran dengan kebutuhan pembeli dalam hubungannya dengan transportasi logistik yaitu …. soal dan kunci jawaban pppk matematika smp sma smk 2021. Contoh soal prakarya kelas 10 semester 1.berikut ini adalah rincian soal pg prakarya kelas 11 smama semester 1. Sebutkan jenis kain yang sanggup dipakai untuk membatik! Materi soal tentang kerajinan dengan inspirasi budaya nonbenda seperti konsep kerajinan tangan budaya lokal nonbenda sistem produksi dan pemasaran. Kumpulan ilmu dan pengetahuan penting materi pelajaran prakarya kelas 10 semester 1.

Contoh soal pts prakarya kelas 7 smp/mts kurikulum 2013 yang kami bagikan ini dapat menjadi referensi belajar peserta didik kelas dalam menyiapkan diri menghadapi penilaian tengah semester 1 tahun pelajaran 2021/2022.

Berikut, teladan soal prakarya dan kewirausahaan (kwu) kelas 10 semester satu dengan kunci jawabannya dimulai dari soal nomor 121. Hai, teman teman yang baik, sudah lama sejak saya tidak membuat contoh soal , sekarang pada kesempatan ini saya meluangkan diri untuk membuat soal pertanyaan. Budi daya tanaman pangan dilakukan pada …. Dengan adanya pemilihan soal dari 4 bab tersebut, tentunya akan memudahkan siswa dalam belajar prakarya dan kwu, sebagai bahan referensi menghadapi uas prakarya yang sebenarnya. Kumpulan soal prakarya kelas 10 semester 2. Melanjutkan contoh soal uas prakarya kelas xi semester 1 k13 beserta jawaban bagian pertama soal nomor 1 10 penilaian akhir semester satu prakarya dan kwu bagian kedua dimulai dari soal nomor 11. Pengertian prakarya prakarya berasal dari istilah pra dan karya, pra mempunyai makna belum dan karya adalah hasil kerja. Kumpulan ilmu dan pengetahuan penting materi pelajaran prakarya kelas 10 semester 1. Oleh admin diposting pada 7 maret 2021 7 juni 2021. Contoh soal pg prakarya kelas 7 semester 1 beserta jawaban kurikulum 2013 smpmtsbagian2 halo selamat datang kembali di blog soal soal sekolah postingan bagian ke 2 merupakan lanjutan bagian ke 1 soal nomor 1 10 dengan materi yang sama yaitu soal tentang kerajinan dan tekstil. Buah atau hasilnya dapat dimakan merupakan ciri dari tanaman …. Kata serapan dari bahasa arab; Silabus prakarya k13 kelas 12 sma revisi terbaru kherysuryawan id.

Soal Prakarya Kelas 10 Semester 1 : Soal Pas Kewirausahaan Kelas 10 K13 Tahun 2020 2021 Websiteedukasi Com - Berisikan materi yang sama dengan contoh soal pg prakarya dan kewirausahaan kelas x semester 1 kurikulum 2013 bab pertama, yaitu wacana "kerajinan dengan inspirasi budaya nonbenda", soal essay/uraian prakarya kelas 10 dengan kunci balasan serta pembahasan dimulai dari soal nomor 1.. Demikianlah file rpp daring 1 lembar prakarya kelas 10 semester 1 dan 2 yang bisa saya bagikan pada postingan ini, kiranya file contoh rpp daring 1 lembar prakarya kelas 10 semester 1 dan 2 diatas bisa membantu guru prakarya yang akan membuat dan menyiapkan rpp versi daring. Berilah tanda silang (x) pada huruf a, b, c, atau d di depan jawaban yang benar! Contoh soal pts prakarya kelas 7 smp/mts kurikulum 2013 yang kami bagikan ini dapat menjadi referensi belajar peserta didik kelas dalam menyiapkan diri menghadapi penilaian tengah semester 1 tahun pelajaran 2021/2022. Kwu kelas xii semester 1 kurikukulum 2013 salah satu mata pelajaran sma kelas 12 adalah prakarya dan kewirausahaan atau pkwu, prinsip prakarya dan kewirausahaan adalah menciptakan karya yang mempunyai nilai jual oleh karena itu karya itu sendiri harus memenuhi standar pasar. Kunci jawaban prakarya dan kewirausahaan kelas 10 semester 1.saya dapat bekerjasama dalam kelompok dengan baik.

Posting Komentar untuk "Soal Prakarya Kelas 10 Semester 1 : Soal Pas Kewirausahaan Kelas 10 K13 Tahun 2020 2021 Websiteedukasi Com - Berisikan materi yang sama dengan contoh soal pg prakarya dan kewirausahaan kelas x semester 1 kurikulum 2013 bab pertama, yaitu wacana "kerajinan dengan inspirasi budaya nonbenda", soal essay/uraian prakarya kelas 10 dengan kunci balasan serta pembahasan dimulai dari soal nomor 1."